Preder

Geriadur ar vezekniezh

thyroïdiennes : hormones ∼thyroid hormoneshormonoù l. (g.) skoedel

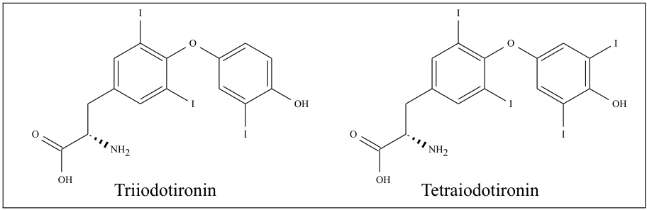
Hormonoù borc'het gant ar skoedenn, amindrenkennoù iodet anezho. Enaozet int e-barzh an tiroglobulin (o c'hadav hag o dilaosk) dre gendouesadur an iodotirozinoù (monoiodo- ha diodo-tirozin). An kez hormonoù zo : an triiodo-3,5,3'tironin (T3) hag an tetraiodo-3,5,3',5'tironin (anvet ivez tiroksin, T4), nebeutoc'h pouezus. Muiaat a reont ar bevezadur oksigen er gwiadoù, ar c'hennevid diazez hag ar gwrezparañ, buanaat ar c'hreskiñ ha korvez ar galon. Ar skoedenn a vorc'h ivez ar c'halkitonin (sl. calcitonine hag iodémie).

Kent War-lerc'h